Pesticides are applied to take advantages of their specific toxicity to certain undesirable species. They may be divided into different classes based on the species they attack. For example insecticides, rodentcides, fungicides, herbicides, and so on. Many are broadly toxic, but somehow less toxic to desirable species. Within the classes, there are often different families of chemicals. For example, most insecticides fall into four main families: organochlorines, pyrethroids, organophosphorus, and carbamate insecticides. All are neurotoxic to insects. The first two interfere with axonal transport or ion transport, the last two interfere with the enzymes and neurotransmitter mechanisms in the terminal portion of the axons.
Here's a site to bookmark, Alan Wood's Compendium of Pesticide Common Names. It has a list of insecticide names and classification by type. http://www.alanwood.net/pesticides/ (Several of the figures below are from that site.)
Organochlorines
This is p,p'-DDT.
![]()  | 
    If the right-hand chlorine were at the position where the red "1" is, it could be called o,p'-DDT | 
![]()  | 
    Chlordane | 
![]()  | 
    Lindane | 
![]()  | 
    Toxaphene (aka camphechlor). Here the line to the left of the Cl8 means the eight chlorines might be anywhere in the molecule, the commercial product is a mixture of isomers with 8 chlorines, on the average. | 
I think the "cage" structures like in chlordane and toxaphene are cool. (In law, statements like that are known as obiter dicta. )
DDT is known for its great persistence in the environment, which initially was thought a benefit. It still is, in countries plagued by malaria. In developed countries this persistence is seen as a terrible threat to the environment, which it is. But how about humans? DDT is poorly absorbed through the skin. This is primary reason for its good safety record as an insecticide. High oral doses will result in a variety of nervous system effects, including parathesia ("wrong" sensations, such as tingling) of the face, hypersensitivity to external stimuli (light, sound), dizziness, tremor and convulsions. So DDT is not good to drink. Does it cause cancer? We'll address that for homework. DDT and some of its metabolites are weakly estrogenic. Does DDT cause endocrine disruption? We discussed that last week. The jury is still out on that in my opinion.
Pyrethroids
All natural ingredients says the label. So are they good to drink? The pyrethroids belong to a class of chemicals, the pyrethroid esters, some of which are present in flowers. The insecticide effects of pyrethroids were discovered by the Chinese in the first century AD. The dried pyrethrum or chrysanthemum flowers provide the raw materials. Like the organochlorines, they affect the ion channels in the axons of the nervous system. Unlike organochlorines, they may affect neurotransmitter release as well. They are not known, in general, as very toxic to humans.
![]()  | 
    Here's a pyrethroid known as cycloprothrin, which I chose more or less at random for an example. Note it has the cyano group. A subgroup of the pyrethroids that have this cyano group seem much more toxic via the skin, and produce stinging or burning that progress to numbness in 12 to 18 hours. | 
Human applicators have reported skin irritation, tingling, etc. On the other hand, some of the pyrethroids cause allergic reactions. Do they cause cancer?
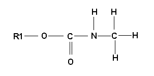
Both the Carbamate Esters and the Organophosphorus Esters (which we have just been calling organophosphorus insecticides) act by inhibiting acetylcholinesterase. In that sense, their mechanism is very similar. Because we talked about the organophosphorus agents quite a bit, here we'll discuss the difference with carbamate. The effects on humans of carbamates are much more easily reversible than the organophosphorus, and there is a much greater range between the dose that causes minor toxic effects and lethal doses.
![]()  | 
    Generic carbamate The R group can be any aryl or alkyl  | 
  
![]()  | 
    
       Carbaryl. Here the R group is an aryl, an alcohol (phenol) of the the polycyclic hydrocarbon naphthalene  | 
  
![]()  | 
     
       Aldicarb.  Here the "alcohol" was oxime, i.e., a compound containing 
        the group  | 
  
Here is a site with toxicity information about Aldicarb and Carbaryl read about the relative toxicity of the two compounds.
Other pesticides. Insecticides get lots of attention, but herbicides, fungicides, rodentcides are the other major classes of pesticides. The index of this site has some major classifications: Classified Lists of Pesticides.
For an herbicide, look at 2,4,5-T . It's not a terribly toxic compound. But it turns out that it was often contaminated by 2,3,7,8-TCDD, that is "dioxin." There are other herbicides of toxicological importance: paraquat and diquat, and many others.
There are many classes of fungicides. Here I'll only call your attention to PCP. Many rodentcides are plain ol' poisons.